1.徐思瑞,杜淼,郑强,吴子良*,物理缔合增韧水凝胶及其黏弹行为研究进展,高分子通报, 2024,综述.
2 M. Dong, Q. Zheng, Z. L. Wu*, Architectured soft materials as autonomous microrobots, Nat. Mater., 2024, 23, 1612-1614 (Views & News).
3. H. Y. Bai+, Q. L. Zhu+, H. L. Cheng, X. L. Wen, Z. J. Wang*, Q. Zheng, Z. L. Wu*, Muscle-like hydrogels with fast isochoric responses and their applications as soft robots: a minireview, Mater. Horiz, published online.

4. J. Y. Hu, L. X. Hou, A. Zhu, H. N. Qiu, Z. R. Zhang, C. Du*, K. Cui, Q. Zheng, Z. L. Wu*, Solvent exchange-induced microphase separation and structural arrest to form glassy hydrogels, Macromolecules, 2024, 57, 11007-11019.

5. X. Kong, G. Guo, B. Yiming, J. Y. Hu, Q. Zheng, T. Y. Li*, Z. L. Wu*, J. Qian*, Tissue-compatible and lubricated hydrogel catheter with promising activity against polymicrobial infections for ventilator-associated pneumonia prevention, Adv. Healthcare Mater., 2024, 2401750.
6. C. Ma+, C. Du+*, Q. B. Tong, X. N. Zhang M. Du, Q. Zheng, Z. L. Wu*, Tough supramolecular hydrogels of poly(N,N-dimethylarylamide)-grafted poly(methacrylic acid) with cooperative hydrogen bonds as physical crosslinks, Soft Matter, 2024, 20, 7448-7456.
7. Y. Tian+, L. X. Hou+, X. N. Zhang, M. Du, Q. Zheng, Z. L. Wu*, Engineering tough supramolecular hydrogels with structured micropillars for tunable wetting and adhesion properties, Small, 2024, 20, 2308570.
8. C. F. Dai, Q. L. Zhu, O. Khoruzhenko, F. Puchtler, H. Bai, J. Breu*, M. Du, Q. Zheng, Z. L. Wu*, Reversible snapping of constrained anisotropic hydrogels upon light stimulations, Adv. Sci., 2024, 11, 2402824.
9. Q. L. Zhu, W Liu, O. Khoruzhenko, J. Breu, H. Bai, W. Hong, Q. Zheng, Z. L. Wu*, Closed twisted hydrogel ribbons with self-sustained motions under static light irradiation, Adv. Mater., 2024, 36, 2314152.
10. X. Kong+, M. Dong+, M. Du, J. Qian, J. Yin, Q. Zheng, Z. L. Wu*, Recent progress in 3D printing of polymer materials as soft actuators and robots, Chem. Bio. Eng., 2024, 1, 312-329.

11. M. Dong, W Liu, C. F. Dai, D. Jiao, Q. L. Zhu, W. Hong, J. Yin, Q. Zheng, Z. L. Wu*, Photo-steered rapid and multimodal locomotion of 3D-printed tough hydrogel robots, Mater. Horiz., 2024, 11, 2143-2152.

12. Q. L. Zhu+, W Liu+, O. Khoruzhenko, J. Breu, W. Hong*, Q. Zheng*, Z. L. Wu*, Animating hydrogel knotbots with topology-invoked self-regulation, Nat. Commun., 2024, 15, 300.
13. W Hu, B Hu, Z Wu, M Zuo, Y Song, Q Zheng, G Shan, M Du*. Zirconium doping facilitates a vertically aligned NiCoZr-layered double hydroxide nanoneedle arrays electrode for hybrid supercapacitors exhibiting a 90,000 cycle durability, Journal of Energy Storage, 2024, 97: 112825
14. B Hu, W X Hu, X Qian, M Zuo, Z Wu, Y Song, Q Zheng, G Shan, M Du*. Scandium doping enables superior cycling performance of NiCo-LDHs-based supercapacitors via NH4Br-assisted electrodeposition. Journal of Energy Storage, 2024, 92: 112069

15. W X Hu, B Hu, Z Wu, M Zuo, Y Song, Q Zheng, G Shan, M Du*. Exceeding 50 000 cycle durability of layered hydroxide-based hybrid supercapacitor through Scandium doping induced superlong activation process, Small Structures, 2024, 2300574
16. J P Hu, D Zhang, W Li, Y Li, G Shan, M Zuo, Y Song, Z Wu, L Ma, Q Zheng, M Du*. Construction of a soft antifouling PAA/PSBMA hydrogel coating with high toughness and low swelling through the dynamic coordination bonding provided by Al(OH)3 nanoparticles, ACS Applied Materials & Interfaces, 2024, 16(5): 6433–6446

17. Yaxin Chen, Qinghui Jin, Feng Chen, Qiang Zheng, Yonggang Shangguan*,Crosslinking Agent Based on Dynamic Bond and Resultant Epoxy Adhesive with High Mechanical property, ACS Appl. Polym. Mater., 2024, 6, 12269-12280.

18. Chunling Liu, Wenhang Fang, Qianqian Cheng, Biwei Qiu, Yonggang Shangguan, Jiangao Shi,Revolutionizing Elastomer Technology: Advances in Reversible Crosslinking, Reprocessing, and Self-Healing Applications, Polymer Reviews, 2024, 10.1080/15583724.2024.2405904,

19. Biwei Qiu*, Zhi Li, Feng Chen, Jiangao Shi, Mingyu Zhang, Yonggang Shangguan*, Qiang Zheng,PPR/EPDM/POE-g-MA/OMMT nanocomposites with superior low-temperature toughness based on embedded OMMT within compound rubber dispersion phase, Polymer, 2024, 309, 127450

20. Yiqun Wang, Lianghai Zhu, Jinlong Wang, Yonggang Shangguan*, Qiang Zheng*, Flexible, high thermal conductivity and EMI shielding performance thermoplastic polyurethane composites through reinforced-orientation carbon fiber, ACS Appl. Polym. Mater., 2024, 6, 6057-6067

21. Rongyan Hu, Ran Xiao, Xinxin Xia, Yonggang Shangguan* and Qiang Zheng, Ethylene-Propylene-Methylene/Isoprene Rubber/SiO2 Nanocomposites with Enhanced Mechanical Performances and Deformation Recovery Ability by a Combination of Synchronously Vulcanizing and Nanoparticle Reinforcement, Polymers 2024, 16, 2809

22. Li Yang, Shihao Sun, Xiaofeng Yu, Zheng Xu, Yaobin Lu, Xuanyu Shi, Yihu Song, Danling Wang, Min Zuo*, Qiang Zheng*. Modified waste rubber powders filled styrene butadiene rubber toward the combination of high elasticity and low mechanical hysteresis, Composites Communications, 2024, 49, 101978.

23.Shihao Sun, Li Yang, Xuanyu Shi, Xiaofeng Yu, Zheng Xu, Yihu Song, Min Zuo*, Qiang Zheng*. Influence of axial pressure on the Payne effect of natural rubber vulcanizates, Polymer, 2024, 303, 127103.

24.Zheng Xu, Xiaofeng Yu, Yaobin Lu, Shihao Sun, Li Yang, Miao Du, Min Zuo*, Qiang Zheng. Interfacial distribution of PMMA-grafted MWCNTs in immiscible blends for improved electrical conductivity, Composites Communications, 2024, 50, 101997.

25.Benteng Liu, Qiao Li, Zhaopeng Hu, Hongda Meng, Xin Jiang, Min Zuo, Miao Du, Yihu Song*, Qiang Zheng, Effect of pretreated CZ/S on the vulcanization and rheological behaviors of isoprene rubber vulcanizates, ACS Applied Polymer Materials, 2024, 6, 12875-12885.

26.Hu Wenxuan, Hu Bin, Wu Ziliang, Zuo Min, Song Yihu, Zheng Qiang, Shan Guorong, Du Miao*. Zirconium doping facilitates a vertically aligned NiCoZr-layered hydroxide nanoneedle arrays electrode for hybrid supercapacitors exhibiting a 90,000 cycle durability, Journal of Energy Storage, 2024, 97, 112825.
27.Hou, F. Y.; Yu, W.; Song, Y. H.; Zheng, Q. Strain softening of carbon black/isoprene rubber/nitrile rubber ternary vulcanizate nanocomposites. Polymer 2024, 313.

28.Hu Wenxuan, Hu Bin, Wu Ziliang, Zuo Min, Song Yihu, Zheng Qiang, Shan Guorong, Du Miao*. Exceeding 50 000 cycle durability of layered hydroxide-based hybrid supercapacitor through scandium doping-induced superlong activation process, Small Structures, 2024, 5, 2300574.
29.Hu Jinpeng, Zhang Dezhi, Li Wenbao, Li Yan, Shan Guorong, Zuo Min, Song Yihu, Wu, Ziliang, Ma Lie, Zheng Qiang, Du Miao*. Construction of a soft antifouling PAA/PSBMA hydrogel coating with high toughness and low swelling through the dynamic coordination bonding provided by Al(OH)3 nanoparticles, ACS Applied Materials & Interfaces, 2024, 16, 6433-6446.

30.Chen Zaihong, Yu, Haichao, Wu, Ziliang, Zuo Min, Song Yihu, Du Miao*, Zheng Qiang. Preparation of high strength zwitterionic polymer hydrogel antifouling and drag reducing coating, Acta Polymerica Sinica, 2024, 55, 99-107.

31 Zhong, X. K.; Song, Y. H.; Zheng, Q. Inhomogeneities of sulfidic linkages and mullins effect in isoprene rubber vulcanizates vulcanized with sulfur donor agents. Polymer 2024, 290.

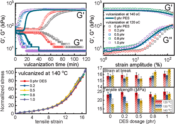
32. Zeng, X.; Zhou, J. W.; Peng, J. B.; Zhang, C. S.; Wang, D. L.; Song, Y. H.; Zheng, Q. Influence of polyethylene glycol-based deep eutectic solvent on vulcanization and mechanical properties of natural rubber gum vulcanizates. Polymer 2024, 290.

33. Yin, X. Z.; Yang, S. W.; Song, Y. H.; Zheng, Q. Advancements in the Rheological Behavior and Practical Applications of Solvent-free Nanofluids. Acta Polym Sin 2024, 55 (12), 1648-1667.

34. Yasin, S.; Hussain, M.; Uddin, A.; Zheng, Q.; Shi, J. F.; Song, Y. H. Recycling of binary polymer (PET/SBR) carpet into microfibrillar composites: A life cycle perspective with microplastics quantification. Sustain Mater Techno 2024, 40.

35. Yang, L.; Sun, S. H.; Yu, X. F.; Xu, Z.; Lu, Y. B.; Shi, X. Y.; Song, Y. H.; Wang, D. L.; Zuo, M.; Zheng, Q. Modified waste rubber powders filled styrene butadiene rubber toward the combination of high elasticity and low mechanical hysteresis. Compos Commun 2024, 49.

36. Sun, S. H.; Yang, L.; Shi, X. Y.; Yu, X. F.; Xu, Z.; Song, Y. H.; Zuo, M.; Zheng, Q. Influence of axial pressure on the Payne effect of natural rubber vulcanizates. Polymer 2024, 303.

37. Qi, Y.; Peng, J. B.; Zhang, C. S.; Wang, D. L.; Song, Y. H.; Zheng, Q. Impact of an oligomer deep eutectic solvent on structure and properties of natural rubber vulcanizates and their nanocomposites. J Appl Polym Sci 2024, 141 (39).
38. Liu, B. T.; Li, Q.; Hu, Z. P.; Meng, H. D.; Jiang, X.; Zuo, M.; Du, M.; Song, Y. H.; Zheng, Q. Effect of Pretreated CZ/S on the Vulcanization and Rheological Behaviors of Isoprene Rubber Vulcanizates. Acs Appl Polym Mater 2024, 6 (20), 12875-12885.

39.Li, Q.; Meng, H. D.; Song, Y. H.; Zheng, Q. Performance enhancement of silica filled natural rubber nanocomposites using organic deep eutectic solvent. Compos Sci Technol 2024, 256.

40. Li, Q.; Liu, B. T.; Hu, Z. P.; Jiang, X.; Yang, L.; Meng, H. D.; Song, Y. H.; Zheng, Q. Preparation of deep eutectic solvents based on metal ions and their influences on reinforcement and strain softening behaviors of silica filled natural rubber nanocomposites. Compos Part a-Appl S 2024, 181.

41. Li, C. Y.; Song, Y. H. Effects of Ionic Liquid on Strain Softening Behaviors of Silica Filled Natural Rubber/Nitrile Butadiene Rubber Nanocomposites. Acta Polym Sin 2024, 55 (11), 1549-1560.

42.Jiang, X.; Hu, Z. P.; Xu, S. C.; Song, Y. H.; Zheng, Q. PEDOT:PSS/XNBR films for low-temperature stretchable electromagnetic interference shielding. Compos Commun 2024, 50.

43.Jiang, X.; Hu, Z. P.; Xu, S. C.; Hu, B.; Liu, B. T.; Li, Q.; Song, Y. H.; Zheng, Q. A low-temperature stretchable XNBR film containing Li-TFSI doped PEDOT: PSS for electromagnetic interference shielding. Chem Eng J 2024, 489.

44.Hussain, M.; Yasin, S.; Uddin, A.; Ashraf, H. T.; Feichao, Z.; Bin, Y.; Zheng, Q.; Song, Y. H. High-performance volatile organic compounds free silica-filled butadiene rubber green nanocomposites using ionic liquid peroxide vulcanization. J Mater Res Technol 2024, 33, 9752-9761.
45.Hu, Z. P.; Liu, B. T.; Jiang, X.; Li, Q.; Meng, H. D.; Song, Y. H.; Bao, Y. Z.; Zheng, Q. Regulating Vulcanization Kinetics with Deep Eutectic Solvents for Developing Greener Processing Technology of Thermoplastic Vulcanizates. Acs Sustain Chem Eng 2024, 12 (39), 14544-14552.

46.Hu, Z. P.; Jiang, X.; Song, Y. H.; Bao, Y. Z.; Zheng, Q. Effects of crosslinked rubber particles on rheological behaviors of ethylene-propylene-diene rubber/ polypropylene thermoplastic vulcanizates. Polymer 2024, 315.

47. Hu, Z. P.; Jiang, X.; Liu, B. T.; Li, Q.; Meng, H. D.; Song, Y. H.; Bao, Y. Z.; Zheng, Q. Co-vulcanization of natural rubber and Eucommia ulmoides gum for mediation of the nonlinear rheology behaviors. Polymer 2024, 315.

48. Hu, Z. J.; Sun, Z. Y.; Chen, H.; Chen, L.; Du, M.; Song, Y. H.; Zheng, Q. Studies on the Lubrication between Hydrophilic-Hydrophilic/Hydrophobic-Hydrophobic Gemini Interfaces and Complex Fluids. Acta Polym Sin 2024, 55 (8), 1081-1090.

